Background from a January 14th posting, with reference to Julie Tetel Andresen and Phillip M. Carter, Languages in the World: How History, Culture, and Politics Shape Language, 2016:
I’ve taught from an antecedent textbook enterprise, also focused on combining structural sketches of particular languages (from all over the world) with accounts of how languages fit into the social lives and cultures of their speakers:
Timothy Shopen (ed.), Languages and Their Speakers; Languages and Their Status, both Winthrop Publishers, 1979, reprinted by Univ. of Pa. Press, 1987
I used the volumes as texts in an undergraduate introduction to syntax course, at Stanford and at Ohio State, with (I think) some success. For that purpose, the language sketches in the Shopen volumes had to be supplemented by material on syntactic typology and syntactic theory (which I created on my own).
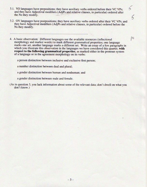
And now some of these materials, from a 1998 version of the course at Stanford.
The original materials were composed with WordPerfect software, eventually transferred to Microsoft Word, but with all the formatting balled up in ways I haven’t been able to cope with. So I’m scanning in the 1998 version of the materials (with handwritten notes on many pages), starting with the set of assignments: syllabus, homework, and exams.
To come: content modules, in several packets.























Leave a Reply